摘 要 :异步电机在工农业生产中应用非常广泛。在电机起动时,会产生较大的电流,对系统本身以及电网都会产生较大的影响,并造成了电能的浪费。当电机的负载低于额定负载的75%时,效率较低,造成了能源浪费。经过理论分析,设计了一种电机智能节能控制器,用于电机的节能、软起动和运行保护。
关键词: DSP 软起动 节能 自适应控制
1 引言
我国的能源政策是注重能源资源节约和合理利用。缓解我国能源资源与经济社会发展的矛盾,必须立足国内,显著提高能源资源利用效率。坚决实行开发和节约并举,把节约放在首位的方针。鼓励开发和应用节能降耗的新技术。2004年,我国为电力、煤炭、石油等能源价格上涨而付出的代价高达百亿美元,而能源短缺间接对国民经济造成的经济损失更难以用具体的数值来估量。节能是我国经济和社会发展的一项长远战略方针,也是当前一项极为紧迫的任务。电动机是电能消耗的最大用户,也是节电潜力最大的用户。在工业生产中电机是最重要的原动力设备,据统计电机用电量占总发电量的50% 以上。在额定负载附近,电机的效率最高,通常都在80% 以上,当负载下降之后,效率随之显著下降。而电机选型时是按照需要的最大负载和最坏情况下所需要的功率而定的,因而大多数情况下,电机运行在轻载情况下;在轻载或不均匀负载情况下,电机的运行效率都较低。因此,提高这些电机的运行效率,可以显著节省电能。异步电机的启动性能较差,全压启动电流约为额定电流的4~8倍,对于大功率电机,将对电网产生很大冲击,影响同一电网中其他用电设备的正常工作;同时,全压起动对电机的机械部分也产生大的冲击,缩短机械部分的使用寿命。若采用软起动措施,平稳升高起动电压,直至正常工作,这样既改善了电机起动对电网的冲击,也减小了机械部分承受的冲击。交流感应电机存在的最大问题是:它输出的转动扭力无法配合起动和运行时的负载扭力。电机起动时,通常在几分之一秒内产生正常时150%至200%的扭力,令负载增至正常速度,这会导致驱动结构受到极大的冲击力矩损害。与此同时电机产生比平常高4~8倍的起动电流,影响供电系统的稳定性。当电机长时间处于半负载状态时,它的铜线圈绕组产生过量磁通,导致电机效率下降。该电流(通常称为感应电流)是固定的,致使电机浪费了约30%至50%的电能。
2 调压节能和限流软起动的理论分析
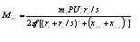
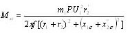
2.1 调压节能的基本原理 调压节能的基本原理是利用异步电动机轻载时效率很低,降低输入电机的端电压以降低空载损耗来提高效率。电机端电压降低后,气隙主磁通也成正比下降,由Φ∝E2∝U2;电机定子电流中的励磁分量Io也会随着下降。由于饱和程度的下降,使Io的值随E2下降的幂次大于1。但Φ下降时,如果电机的负载转矩不变,则转子电流I2将上升,有I2∝ 1/Φ ∝ 1/E2。这些变化对电机损耗的影响如下:转子铜耗PAI∝I22∝ 1/E22,定子铁耗PFE∝φ2∝E12,定子电流I1是I2及Io的矢量和。电压下降适当时,电流I1可以减小,铜耗也相应减小。机械损耗则一般变化不大,杂耗随定转子电流而变。因而总损耗是否能减小,取决于铁耗`定子铜耗和转子铜耗三者的关系,很重要的取决于定子电流是否能减小。当电机轻载或空载时,I1中Io分量所占比例较大,I2分量所占比例较小,定子电流是能够减小的,降压运行可以达到降压节能的目的。 2.2 限流软起动原理 异步电机的Γ型简化模型如图1所示。
图1 异步电机的Γ型简化模型
r1和分别是定子绕组的电阻和漏抗,和分别为折算后转子的电阻和漏抗,rm和xm分别为励磁电阻和励磁阻抗,s为转差率. 由简化模型可以求出异步电机的机械特性数学表达式: 在起动时,转子转速n2 = 0 ,转差率S = 1 ,此时机械特性方程式为: 又因为在电机起动时,
 从上面讨论得到的电机简化模型可知,起动时,S = 1,
大很多,忽略励磁电流时,视Zm为开路,则:  起动转矩MST与定子每相电流的关系如下:  式中:MN: 异步电机的额定电磁转矩;IN:异步电机的每相额定电流;SN:异步电机的额定转差率 通常感应电机的SN很小,一般为0.01~0.05,所以要获得较大的Mst倍数,必须要求有较大的起动电流倍数。限流起动时,若限流值Ist较大,则电机的起动转矩Mst也大。因此电机达到稳定转速的时间越短,起动也越迅速。但是,为了起动的时候保证有一定大小的起动转矩,起动电流的选择不能太小,限流值的选择要大小合适。而在大转矩的起动场合,限流起动则不一定适用。这是为了满足大的起动转矩,要求大的起动电流Ist之故。而当起动电流Ist过大时,会引起对电网的较大冲击,所以在大转矩的起动场合,限流起动并不一定适用。
3 控制策略
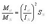
我们选定限流软起动方式,所以可以利用嵌入式芯片对电流进行实时监控,减少电机起动过程中产生的大冲击电流,减少设备的损耗。控制系统为了达到响应速度快、无静差,可以选择数字PI调节器调节。积分调节器(I)由于积分的作用,所以在输出响应上总会有延迟,但是只要有误差存在,积分过程就不会停止,最终会稳定在预期的输出值上。而比例调节器(P)响应速度快,但永远不会稳定在给定值上。所以两者结合起来,充分发挥各自的长处,既达到了快速性,又消除了误差。 系统自适应工作的过程是这样的:事先按照最优控制方案计算出负载率为m时相对应的调压系数K和异步电动机的其他工作参数如功率因数、节能率等。当参考输入(m,K)同时加到异步电动机和参考模型的入口时,由于电动机的部分初始参数不确定,因此刚开始电动机的输出响应(功率因数)与最优控制方案要求的输出响应(功率因数)将不会完全一致,结果产生偏差信号e(t),当信号e(t)进入自适应调整回路后,经过由自适应律所规定的运算,产生适当的附加控制作用△K,自动改变异步电机的定子端电压,从而使电动机的输出响应逐步接近最优控制下的输出响应,即自适应调压后电动机的功率因数与最优控制方案下的功率因数一致。最后当偏差信号e(t)=0时,自适应调整过程停止。
4 硬件设计
本控制器主要包括主回路、控制回路和驱动保护电路。主回路主要由三对双向晶闸管和接触器组成,通过控制双向晶闸管的导通实现改变加到电机定子端 的电压;而接触器的主要作用是在软起动过程完成以后,把双向晶闸管从三相电路中旁路。在需要软停车或电机负载变化时,再把软起起动装置接入到电机回路中,完成软停车或节能功能。在控制回路和驱动保护电路中,包括了电压检测,电流检测,主控芯片(TMS320LF2407),晶闸管触发电路,接触器驱动,RS-232的上位机串口通信回路和辅助开关电源等。DSP控制系统原理图如图2所示,现对此作简单介绍。 (1)电压检测:在电压检测回路中,实现两个功能。其一是同步信号的检测功能,采样在三相电压的过零时刻,它作为晶闸管脉冲触发信号的同步信号;其二是将三相电源电压信号通过变压器降压后转变成直流信号,再经AD转换后送入到DSP中,作为电压负反馈调节、故障检测、过压和欠压保护。 (2)电流检测:通过霍尔传感器将三相电流信号转换成电压信号,再将这个电压信号经过AD转换后送入到DSP作为电流负反馈调节、故障检测和过流保护。 (3)晶闸管触发电路:利用DSP给出的控制信号,经脉冲变压器后送出一定脉宽的脉冲信号驱动晶闸管的导通,并通过控制导通角来改变加在电机两端的电压的大小。 (4)主控微机TMS320LF2407芯片:它是系统的核心,主要负责对检测信号的处理,移相范围的调节,给出晶闸管和接触器的驱动信号,接受输入的控制信号及输出数据等功能。
图2 DSP控制系统原理图
5 软件设计
图3 系统软件流程图
如图3所示,系统软件由以下几部分组成,分别是系统初始化模块,PC机与RS-232的串口通讯和闭环控制子程序的设计。系统初始化模块的功能主要是进行系统的自检、初始化。主要包括了系统内存和I/ O口检测,若发现故障立刻返回上位机报警。 PC机与RS-232的串口通讯模块的主要功能是控制参数传输和数据显示。闭环控制子程序主要包括限流起动程序设计和脉冲触发同步信号中断设计以及脉冲延时触发中断程序设计。
6 试验结果分析
利用该节能控制器对一台3.0kW的J0系列的4极电机进行实验,实验数据如附表所示。 附表 电机在不同负载时运行实验结果
从上表可以看出,电机在额定负载附近节能运行时,其效率和功率因数变化不大,说明此时节能效果不明显;随着负载率的降低,电机的运行效率逐渐得以提高,功率因数增加更为显著。理论分析和实验结果表明,在电动机负载率大于0.5时,降压节能效果不明显;当 在0.3~0.5之间时,电机的效率变化不大,但功率因数明显提高,有一定的节能效果;而当小于0.3时降压节能效果显著,电机的效率和功率因数均有较大提高。通过分析还可以发现,电机运行效率在负载率为0.75~1范围内较高,但为1时效率并非最高。这种节能运行方案可以使异步电动机在不同的负载下均呈现出较高的效率,且兼顾提高功率因数。在实际应用中,由于异步电动机的定子电压与定子电流较之功率因数易于准确测量,所以选取定子电压作为控制量的异步电动机轻载调压节能方案具有较高的实用价值。研究结果表明:当电机负载率小于0.3时安装节能控制器的节能效果显著。当忽略负载变化引起的电机参数变化时, 随着定子电压的降低, 异步电动机的转矩会减小。所以采取降压措施节能时,降压行为还受到电机能否带动负载正常运行的制约。为保证电机所具有的电磁转矩必须能克服空载转矩且带动负载正常运行,需要对其进行转矩校验。通常异步电动机的过载倍数一般为1.8~3.7,降低电压的最小值范围大致为(0.27~0.56) 。
7 结束语
智能控制器是嵌入式系统控制晶闸管的触发角,从而控制电动机的启动电压,这是其他传统启动方法无法相比的。它既能保证在负载要求的启动特性下平滑启动,降低对电网的冲击,又能保证电动机的可靠启动,具有过流、缺相、相序判断等保护,还可节能。该产品性能稳定,可靠性高,节电率可达33%以上,功率因数提高2倍以上,软启动平稳,提高了电网供电质量。该项成果属于实用新型产品,集电机软启动、节电运行、多种保护于一体。 该装置不仅适用于负荷变化缓慢的场合,而且也可用于负荷变化速度较快和变化大的场合,如提升机、供水站、油田等深水井的场合。它应用在油田的抽油泵机组上,经过一段时间的运行,性能稳定、节能显著,取得了良好的经济效益。
|